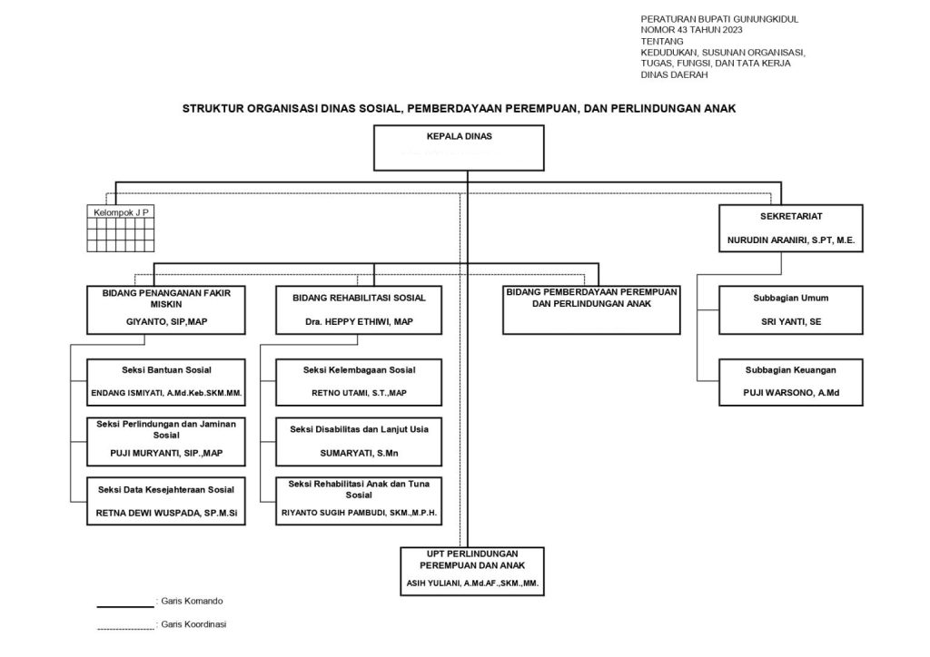
Struktur Organisasi

PROFIL PEJABAT DINAS SOSIAL PEMBERDAYAAN DAN PERLINDUNGAN ANAK

Jabatan:Plt. Kepala Dinas
Nama:Drs. Wahyu Nugroho, M.Si
Riwayat Pendidikan: 
Riwayat Jabatan:Kepala Badan Kesatuan Bangsa dan Politik
Jabatan:Sekretaris Dinas
Nama:HADI HENDRO PRAYOGA,S.IP.  
Riwayat Pendidikan:S1 Ilmu Hubungan Internasional
Riwayat Jabatan:Sekretaris Badan Perencanaan Pembangunan, Riset dan Inovasi Daerah
Jabatan:Kepala Subbagian Keuangan
Nama:PUJI WARSONO, A.Md
Riwayat Pendidikan:DIII Akuntansi (Akademi Akuntansi Widya Wiwaha Yogyakarta)
Riwayat Jabatan:Bendahara Pengeluaran Dinas Sosial Kabupaten Gunungkidul
Jabatan:Kepala Subbagian Umum
Nama:SRI SUWARNI, A.Md, Gigi
Riwayat Pendidikan  
Riwayat Jabatan:Kepala Subbagian Tata Usaha Rumah Sakit Umum Daerah Saptosari
Jabatan:Kepala Bidang Penanganan Fakir Miskin
Nama:SUYONO,SE.
Riwayat Pendidikan:S1 Universitas Cokroaminoto Yogyakarta Fakultas Ekonomi
Riwayat Jabatan: 
Jabatan:Kepala Seksi Bantuan Sosial
Nama:ENDANG ISMIYATI, A.Md.Keb.SKM.MM
Riwayat Pendidikan:S2 Manajemen (Widya Wiwaha Yogyakarta)
Riwayat Jabatan:Kasi Kelembagaan Dinas Sosial, PPPA Kab. Gunungkidul
Jabatan:Kepala Seksi Perlindungan dan Jaminan Sosial
Nama:PUJI MURYANTI, SIP.MAP
Riwayat Pendidikan:S2 AP (Kartika Bangsa Yogyakarta)
Riwayat Jabatan:Kepala Jawatan Kemakmuran Kapanewon Paliyan
Jabatan:Kepala Seksi Data Kesejahteraan Sosial
Nama:RETNA DEWI WUSPADA, SP.M.Si
Riwayat Pendidikan:S2 Universitas Diponegoro Semarang
Riwayat Jabatan:Kasi Industri Hasil Hutan dan Perkebunan Dinas Perindustrian dan Perdaganan Kab. Gunungkidul
Jabatan:Kepala Bidang Rehabilitasi Sosial
Nama:Dra. HEPPY ETHIWI, MAP
Riwayat Pendidikan:S2 STISIP Kartika Bangsa Yogyakarta
Riwayat Jabatan:Kepala Sub Bagian Keuangan Dinas Pariwisata Kab. Gunungkidul
Jabatan:Kepala Seksi Kelembagaan Sosial
Nama:RETNO UTAMI, S.T.,MAP
Riwayat Pendidikan:S2 FISIP Kartika Bangsa
Riwayat Jabatan:Analis Kebijakan Ahli Muda Kel. Substansi Distribusi Bidang Perdagangan Dinas Perdagangan Kab. Gunungkidul
Jabatan:Kepala Seksi Disabilitas dan Lanjut Usia
Nama:SUMARYATI, S.Mn.
Riwayat Pendidikan:S1 Universitas Terbuka
Riwayat Jabatan:Kepala Sub Bagian UPT BLK
Jabatan:Kepala Seksi Rehabilitasi Anak dan Tuna Sosial
Nama:RIYANTO SUGIH PAMBUDI, SKM.M.P.H.
Riwayat Pendidikan:S2 IKM (Universitas Gajah Mada)
Riwayat Jabatan:Kepala Subbagian Tata Usaha UPT. Puskesmas Patuk I
Jabatan:Kepala Bidang Pemberdayaan Perempuan dan Perlindungan Anak
Nama:DIANA ESTI LESTARI,S.Sos,MAP
Riwayat Pendidikan:S2 Magister Administrasi Publik
Riwayat Jabatan: 
Jabatan:Kepala UPT Perlindungan Perempuan dan Anak
Nama:ASIH YULIANI, A.Md.AF.,SKM.,MM.
Riwayat Pendidikan:S2 STIE Widya Wiwaha
Riwayat Jabatan:Kepala Jawatan Pelayanan Umum Kapanewon Ponjong
Jabatan:Kepala TU UPT Perlindungan Perempuan dan Anak
Nama:DESTI FATMASARI,M.Psi.
Riwayat Pendidikan:S2
Riwayat Jabatan: 
Skip to content